555 Timer

According to Wikipedia and other sources, the 555 timer is the most popular integrated circuit ever manufactured, with billions having been sold. Frequency and duty cycle are determined by the values of an attached capacitor and resistors, as explained in the TTL Cookbook and elsewhere. The following calculators estimate either the frequency that will be generated from given capacitor and resistor values, or the approximate capacitance needed to achieve a target frequency, given specified test resistor values.
555 Timer - R1, R2 and C

555 Clock Frequency

              

555 Capacitance Estimator

              


Note: Observe 555 minimum and maximum R/C values (TTL Cookbook, pages 172-173.)




Coax velocity factor or length

There are several ways to determine the velocity factor of a known length of coax, or conversely the length given the velocity factor. Two of these methods are illustrated below. The first is direct measurement of the round-trip reflection time for a signal in an unterminated length of coax. The test setup is simple. A square-wave function generator or oscillator is connected to an oscilloscope. I use a BNC ‘T’ connector at the oscilloscope input jack. The ‘unknown’ coax is connected to the other side of the T jack. Frequency is not critical.  Make the time scale of the oscilloscope (horizontal axis) sufficiently sensitive to read reflection time to within a few nanoseconds. For a 50 foot length of coax, 25 nS per scale division should work.

Coax measurement test setup

Length

         

Velocity Factor

         



Resonant frequency method

An antenna analyzer can be used to ascertain the resonant frequency of a length of coax, e.g. at 1/4, 1/2, etc. wavelengths. Resonant frequency can then be used in a way similar to reflection time, to estimate length given velocity factor, or conversely to determine velocity factor, given length. The test setup is shown in the following illustration. (The illustrated resonance is at 1/4 wavelength.)


Equal Payment Amount Formula


Length

Select the appropriate wavelength fraction for the resonance (default is 1/4λ), or enter a value in the input box if none of the selectable fractions apply.
         


Velocity factor

         





Inductance from half-voltage frequency

I had ordered an electronics kit and sorted the components in preparation for assembling the kit. There was one wrong valued component and one that I wasn't sure about. The questionable component was an inductor and, while it is simple to test an unknown resistor with a multi-meter, to measure inductance an LCR meter (which I did not have at the time) would be needed. Google to the rescue! The page at http://www.dos4ever.com/inductor/inductor.html presents a simple method to measure an unknown inductance (from a few to a few hundred μH). Once the procedure described in this resource is carried out, the mathematical calculation is even simpler, and can be performed on an ordinary calculator. Even so, why not code the calculation so that inductors can be measured quickly, with minimal effort.

Test example: Assume the inductor has negligible resistance and that upon carrying out the procedure described in the above-referenced page, the frequency that resulted in a half-amplitude reading was 1,175,000 Hz (enter values in Hz, not KHz or MHz). Entering this value in the frequency box below without commas (leave the resistance box empty) results in an inductance measure of 3.9 μH, which happens to be the value that the inductor in question should have had.

If the inductor has a significant internal resistance (can be measured with an ohmmeter) then enter this value in the resistance box before clicking ‘compute.’

         


Note: The experimental method is fully described at the page linked in the introductory paragraph above.



Permeability of a ferrite rod

A 5-pack of ferrite rods of unspecified type or mix were advertised as suitable for [making] a radio antenna. I thought it should be possible to ascertain some properties of these rods by first measuring inductance of a test coil, then using this measured value together with other parameters to compute the material’s permeability:


Magnetic permeability


Magnetic permeability (μ)

Select units for length and diameter.

              


Select units for inductance.

    


μ postscript

Shaved edgeInductance tester screen I am not confident about this calculation. It did not resolve the type of rods in the 5-pack I’d bought. These rods are each 140 mm in length. In cross-section they are not exactly round. (See photo - Are they flattened for gluing?) Outer diameter (neglecting flattening) is 10 mm and the width between shaved edges is approximately 8.5 mm. For the μ calculation (which assumes roundness in this implementation) a middle value (9.25 mm) was entered for diameter. After winding a test coil (240 turns of enameled wire) I measured inductance in three different ways. The results were in approximate agreement, and for the calculation I used 3.3 mH. With these values as input, the calculator gives μ = 95.


LC resonance, C = .001 uF




Meauring wire diameter

Thinking backwards 

However perverse it may be, I have sometimes wanted to calculate something opposite to the usual way. A recent example was to compute wire gauge (AWG number) as a function of wire diameter. An Internet search produced several pages that give formulas, tables, and calculators for converting wire gauge to diameter, in either English or metric units, but not the opposite, except of course in the sense that one can scan a table by eye to identify the row that contains an output value that is close to the measured diameter. Several sources (for example, this Wikipedia page) give the following formula for wire diameter in millimeters:

Formula - Wire gauge to diameter in millimeters

The formula reproduced above includes an exponential term, so the inverse must necessarily contain a logarithm—I thought this as good as reason as any to refresh my fading memory of logarithms. A detailed derivation entails several steps, but can be satisfactorily summarized in two. The first is the direct or immediate inverse of the formula for diameter, while the second substitutes the natural logarithm for log base 92, and combines constants in order to simplify the resulting expression.

Formula - Wire diameter in millimeters to AWG
 
Formula (3), giving AWG as a function of diameter in millimeters, has excess precision—more than the original formula. However, the calculator (below) rounds the answer to the nearest whole number (i.e., wire gauge number).
 
    



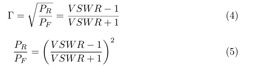
Reflected power


VSWR in various contexts

Here is another backwards calculation. This one is more a mental exercise—It doesn’t really merit a calculator, but just for fun. Many sources (for example, Wikipedia) give the following formula for VSWR in terms of reflected power (or, more precisely, the ratio of reflected to forward power):

VSWR in terms of power

Assume that the ratio of reflected to forward power is a positive fraction less than 1. The question is: “For a given VSWR, what proportion of the power is reflected?” As I said, this is normally a mental calculation, unless VSWR is extremely high, in which case it is probably too late to have asked the question! First, simplify the formula with a substitution:

VSWR simplified

Use ordinary algebra to solve for Γ and then square both sides.

Proportion of reflected power, given VSWR

An example will demonstrate how easy it is to calculate reflected power from VSWR. Suppose VSWR is 3:1.  3 minus 1 is 2. 3 plus 1 is 4.  2/4 = 1/2 and (1/2)2 = 1/4. Thus, when measured VSWR is 3:1, one fourth the power is reflected.

    



 


Convert Decimal to Fraction: Expressing a fraction as a decimal number is easy—simply divide the numerator by the denominator. However, the reverse problem, to express a decimal number as a fraction to an acceptable approximation, is less obvious. To clarify the context, this discussion is about converting ordinary (short) decimal numbers, such as arise in everyday experience, to simple fractions. In the United States, tools, such as wrenches and drill bits and so forth are specified in inches or fractions of an inch. Thus a digital caliper may display an inch measure in fractional form for the convenience of selecting the correct tool. (Metric measurement does not suffer this encumbrance.) The particular situation that brought the decimal to fraction problem to my attention had nothing to do with SAE (stands for the Society of Automotive Engineers), and will be described below, but first I will explain the calculation itself.

    Any finite decimal number is easily converted to a fraction by putting the decimal digits in the numerator and a corresponding power of 10 in the denominator, but that is not quite satisfactory. Generally, a shorter fraction would be preferred, if there is one. As it happens, there is a systematic procedure for converting a decimal number into what is called a continued fraction, by breaking the given decimal into an integer part and reciprocal of the remainder, then iterating the process. At each term, one can compute a rational fraction represented by the continued fraction up to that term. Such fractions successively approximate the decimal number.

Continued fraction and rational convergents

From the illustrated example, it seems obvious how to decide where to stop. Evaluate the fraction at each term, compare to the decimal number, and decide whether the fraction satisfies the desired precision. In the calculator below, precision is equal to the length of the input decimal plus one place. The idea is for the returned fraction to reproduce the original number up to its length, without a large digit in the next position.   For greater precision simply add zeros to the end of the decimal. Now I will briefly describe the exercise that led to programming this calculator.


Si5351 Breakout Board

     Si5351 A/B/C Programmable Clock Generator
 
The Si5351* must be one of the most popular chip families in ham radio. This Silicon Labs clock generator is found in at least four devices that I own, including a couple of QRP transceiver kits and the NanoVNA (vector network analyzer). An Si5351 breakout board, such as the one pictured on the left, invites experimentation with an Arduino or other development kit that can communicate with the clock generator via i2c.  The device has two PLL’s labeled A and B, and three outputs labeled CLK0, CLK1, and CLK2. Parameters that determine clock outputs are called a ‘frequency plan’. A desktop computer application from Silicon Labs called ‘ClockBuilder’ can be used to assist in computing frequency plans.

My interest as a hobbyist was to explore Si5351 clock outputs that were generated from a variety of test inputs. In pursuing this activity I came across the problem of  converting a decimal number to a fraction. To explain, the Adafruit Si5351 library for Arduino includes the methods setupPLL(...) and setupMultisynth(...). Suppose we have a base frequency and target frequency in mind, and have computed the ratio of these frequencies as a decimal number.. To argue a frequency multiplier or divider to one of these library functions it is necessary to express the decimal part of the ratio as a fraction (i.e., as numerator and denominator).  The fraction might be as simple as 0/1 or 1/2, but in some cases could be a longer decimal number. I should stress that this problem does NOT arise in the context of developing a frequency plan with the aid of the Silicon Labs ClockBuilder application. It pops up where you want to change an output frequency by fiddling either the multisynch or feedback divider, leaving the other fixed. This is something that I played with, in learning a little about Si5351 programming.

 



    




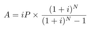
Equal Payment Amount (Also known as Amortization) 

You are given a principal loan amount (P), an interest rate (i), and a number of equal payments (N). Interest is expressed as a fraction or proportion per payment.  For example, if the loan is to be paid monthly and the interest is 6% per year, fractional interest would be 6÷1200 or .005. The divisor 1200 reflects conversion from percent to fraction (÷100) and from annual to monthly (÷12). The number of payments (N) refers to the total number over the course of the loan.  For example, if payments are monthly and the loan is for 6 years, N = 6×12 = 72. Let A stand for the equal payment amount:

Equal Payment Amount Formula

Many years ago (i.e., before Internet and before personal computers) a calculator salesman asked me to program this problem for his machine, and promised a case of scotch whiskey as payment. I never saw a drop of scotch, but working out a program for the problem was reward enough. Back then it wasn’t JavaScript!

Example: Suppose you wish to borrow $25,000.00 at an annual periodic rate of 6%, and make monthly payments for 6 years. Enter 25000 as a number into the first box (omit the dollar sign and commas), .005 in the second box (see first paragraph above), and 72 in the third box. Then click the ‘Compute Amount’ button. For these input values the monthly payment should be $414.32. This amount consists purely of principal and interest. It does not include any add-on charges that may be included in a real loan, such as taxes, insurance, and so forth.

            




Home







The author makes no claim as to the accuracy or completeness of information presented on this page. In no event will the author be liable for any damages, lost effort, inability to reproduce a claimed result, or anything else relating to a decision to use the calculators or supplemental information on this page.